87% found this document useful (142 votes)
85K views

Noncompete Agreement

The purpose of this agreement is to provide an employer some protection against the possibility that knowledge gained by an employee will be used in the future to compete with the employer.

Uploaded by

RocketLawyer
Copyright
© Attribution Non-Commercial (BY-NC)
We take content rights seriously. If you suspect this is your content, claim it here.
87% found this document useful (142 votes)
85K views

Noncompete Agreement

The purpose of this agreement is to provide an employer some protection against the possibility that knowledge gained by an employee will be used in the future to compete with the employer.

Uploaded by

RocketLawyer
Copyright
© Attribution Non-Commercial (BY-NC)
We take content rights seriously. If you suspect this is your content, claim it here.
You are on page 1/ 2

NONCOMPETE AGREEMENT

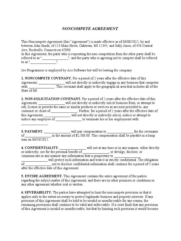
This Noncompete Agreement (this "Agreement") is made effective as of 06/08/2012, by and between John Smith, of 123 Main Street, Oaktown, MI 12345, and Sally Jones, of 456 Central Ave, Rockville, Connecticut 67890. In this Agreement, the party who is requesting the non-competition from the other party shall be referred to as "_______________", and the party who is agreeing not to compete shall be referred to as "_______________". Joe Programmer is employed by Ace Software but will be leaving the company 1. NONCOMPETE COVENANT. For a period of 2 years after the effective date of this Agreement, _______________ will not directly or indirectly engage in any business that competes with _______________. This covenant shall apply to the geographical area that includes all of the State of MI. 2. NON-SOLICITATION COVENANT. For a period of 2 years after the effective date of this Agreement, _______________ will not directly or indirectly solicit business from, or attempt to sell, license or provide the same or similar products or services as are now provided to, any customer or client of _______________. Further, for a period of 2 years after the effective date of this Agreement, _______________ will not directly or indirectly solicit, induce or attempt to induce any employee of _______________ to terminate his or her employment with _______________. 3. PAYMENT. _______________ will pay compensation to _______________ for the covenants of _______________ in the amount of $2,500.00. This compensation shall be payable in a lump sum on 06/10/2012. 4. CONFIDENTIALITY. _______________ will not at any time or in any manner, either directly or indirectly, use for the personal benefit of _______________, or divulge, disclose, or communicate in any manner any information that is proprietary to _______________. _______________ will protect such information and treat it as strictly confidential. The obligation of _______________ not to disclose confidential information shall continue for a period of 5 years after the effective date of this Agreement. 5. ENTIRE AGREEMENT. This Agreement contains the entire agreement of the parties regarding the subject matter of this Agreement, and there are no other promises or conditions in any other agreement whether oral or written. 6. SEVERABILITY. The parties have attempted to limit the noncompete provision so that it applies only to the extent necessary to protect legitimate business and property interests. If any provision of this Agreement shall be held to be invalid or unenforceable for any reason, the remaining provisions shall continue to be valid and enforceable. If a court finds that any provision of this Agreement is invalid or unenforceable, but that by limiting such provision it would become

valid and enforceable, then such provision shall be deemed to be written, construed, and enforced as so limited. 7. INJUNCTION. It is agreed that if _______________ violates the terms of this Agreement irreparable harm will occur, and money damages will be insufficient to compensate _______________. Therefore, _______________ will be entitled to seek injunctive relief (i.e., a court order that requires _______________ to comply with this Agreement) to enforce the terms of this Agreement. 8. APPLICABLE LAW. This Agreement shall be governed by the laws of the State of Mississippi.

PROTECTED PARTY: John Smith

By: _______________________________ John Smith Principal

NONCOMPETING PARTY: Sally Jones

By: _______________________________ Sally Jones Secretary-Treasurer

You might also like